जनप्रतिनिधिले सामान्य उपचार खर्च समेत दाबी गर्नु नैतिकताको प्रश्न : सुशासन विज्ञ
ज्यकोषबाट आकर्षक तलबभत्ता लिइरहेका संघीय संसद्का ८७ जना सांसदले उपचार खर्चका नाममा राज्यकोषबाट सुविधा लिएको पाइएको छ ।
संघीय संसद्का पदाधिकारी तथा सदस्यहरूको पारिश्रमिक र सुविधासम्बन्धी ऐनमा उपचार खर्च लिन पाइने उल्लेख छ, तर ऐनमा व्यवस्था भयो भन्दैमा सामान्य चेकजाँचको बिल समेत पेश गरेर उपचार खर्च बुझ्नु नैतिकताको प्रश्न भएको सुशासन क्षेत्रमा सक्रिय अभियान्ताहरू बताउँछन् ।
ADVERTISEMENT
२०७५ भदौदेखि २०७६ माघसम्मको करीब १८ महिनामा सांसदहरूले २६ लाख २७ हजार ३ सय १० रुपैयाँ ५० पैसा उपचार खर्च बुझेका छन् ।
राजधानी काठमाडौं उपत्यकामा घर भएका र आर्थिक अवस्था मजबुत भएका सांसदले समेत ‘उपचार खर्च’ बुझेको देखिन्छ । यसरी सुविधा लिनेमा संसदीय दलका नेता, समितिका सभापति र पूर्वमन्त्रीहरू समेत छन् ।
ADVERTISEMENT
धेरैमा ४ लाख ३२ हजार, थोरैमा ३ सय ५० रुपैयाँ पनि दाबी !
सबैभन्दा धेरै उपचार खर्च बुझ्नेमा नेकपा सांसद शान्तिकुमारी अधिकारी जिसी छन्, उनले पटक–पटक गरी ४ लाख ३२ हजार १ सय ८८ रुपैयाँ बुझेकी छन् ।
सबैभन्दा कम नेकपाकै कमलाकुमारी वलीले ५ सय ७७ रुपैयाँ बुझेको संसद् सचिवालयको तथ्यांक छ । सबैभन्दा सानो बिल बुझाएर उपचार खर्च बुझ्नेमा भने समाजवादी पार्टीकी सांसद रेणुका गुरुङ छिन्, उनले २०७६ वैशाख
१५ गते ३ सय ५० रुपैयाँ बुझेको देखिन्छ । गुरुङले त्यसअघि २०७५ भदौ १४ मा १ हजार ७ सय २५ रुपैयाँ उपचार खर्च बुझेकी थिइन् ।
त्रिवि शिक्षण अस्पताल महाराजगञ्ज परिसरमा रहेको मनमोहन कार्डियोथोरासिक ट्रान्सप्लान्ट तथा भास्कुलर सेन्टरबाट मिर्गौला ट्रान्सप्लान्ट गराएकी जिसीको उपचार खर्च सिधै अस्पतालमा भुक्तानी गरिएको सचिवालय स्रोतले बतायो ।
जिसीले गम्भीर बिरामी पर्दा उपचार खर्च लिएपनि सांसद गुरुङले जम्मा ३ सय ५० र वलीले ५ सय ७७ रुपैयाँ समेत राज्य कोषबाट दाबी गर्नु अचम्मलाग्दो छ ।
सबैभन्दा बढी सुविधा लिएकी नेकपा सांसद जिसीले २०७५ भदौ २९ गते १ लाख ८४ हजार ४ सय ८० रुपैयाँ उपचार चर्ख लिएकी छन् ।
यस्तै २०७५ फागुन ५ गते ६३ हजार २ सय ६२ रुपैयाँ, २०७६ वैशाख १५ गते ४८ हजार २ सय २१ रुपैयाँ, २०७६ भदौ २५ गते ७६ हजार १ सय ४६ रुपैयाँ, पुस ६ गते ६९ हजार ७९ रुपैयाँ लिएको तथ्यांक छ ।
‘गम्भीर बिरामी भएकाले उहाँले पटक–पटक उपचार खर्च लिनुभएको हो, यसलाई दुरुपयोग भन्न मिल्दैन,’ सचिवालयका एक अधिकारीले भने ।
अन्य केही सांसद पनि अहिले गम्भीर बिरामी छन् ।
संसद् सचिवालयका प्रवक्ता डा. रोजनाथ पाण्डेले मेडिकल बोर्डको सिफारिसका आधारमा सांसदहरूलाई उपचार खर्च दिने गरिएको लोकान्तरलाई बताए ।
‘सचिवालयमा रहेको मेडिकल बोर्डको सिफारिसका आधारमा हामीले औषधि उपचार खर्च दिने गरेका छौं, सरकारी अस्पतालमा गरेको भए शतप्रतिशत र निजी अस्पतालमा उपचार गरेको बिल भए ५० प्रतिशत भुक्तानी दिने गरिएको छ,’ प्रवक्ता पाण्डेले भने ।
संघीय संसद् सचिवालयले लोकान्तरलाई उपलब्ध गराएको विवरणमा नेपाली कांग्रेसका नेता एवं पूर्व अर्थमन्त्री ज्ञानेन्द्रबहादुर कार्कीले २०७६ भदौ ५ गते ८ हजार ५ सय ५५ रुपैयाँ उपचार खर्च लिएका छन् । कांग्रेस सांसद प्रकाशमान सिंहले पनि १ लाख ३२ हजार ७ सय ३१ रुपैयाँ उपचार खर्च लिएको देखिन्छ ।
राष्ट्रिय सभामा नेपाली कांग्रेस संसदीय दलका नेता सुरेन्द्रराज पाण्डेले २०७५ भदौ २९ गते १५ हजार ९ सय ३४ रुपैयाँ उपचार उपचार खर्च लिएका छन् । सदनमा प्रतिपक्षी दलका नेतालाई सचिवालयले गाडी, इन्धन लगायतका अतिरिक्त सुविधा उपलब्ध गराउने गरेको छ । नेपाली कांग्रेसका सांसद मानबहादुर विश्वकर्माले विभिन्न समयमा गरेर ७ पटकसम्म उपचार खर्च लिएका छन् ।
हाल सभामुख रहेको नेकपाका तत्कालीन सांसद अग्निप्रसाद सापकोटाले २०७५ माघ २ गते ६ हजार १ सय ४ रुपैयाँ उपचार खर्च लिएको सचिवालयले उपलब्ध गराएको विवरणमा उल्लेख छ ।
तत्कालीन उपसभामुख एवं कानूनमन्त्री डा. शिवमाया तुम्बाहाङ्फेले २०७६ वैशाख १५ गते ८ हजार ३० रुपैयाँ उपचार खर्च लिएकी छन् । राष्ट्रिय सभाकी उपाध्यक्ष शशिकला दाहालले ७ हजार ३ सय रुपैयाँ उपचार खर्च लिएकी छन् । अहिलेका स्वास्थ्य राज्यमन्त्री नवराज रावतले ५ पटक उपचार खर्च लिएका छन् ।
राजपा अध्यक्ष मण्डलका सदस्य एवं पूर्वमन्त्री अनिल झाले २०७६ जेठ २७ गते ८ हजार ४ सय ४३ रुपैयाँ उपचार खर्च लिएका छन् ।
नेकपा संसदीय दलका प्रमुख सचेतक देव गुरुङले २०७६ वैशाख १५ गते ५ हजार ८ सय रुपैयाँ उपचार खर्च लिएका छन् । गुरुङपत्नी यशोदा सुवेदीले पनि सोही दिन ९ हजार २ सय १४ रुपैयाँ उपचार खर्च बुझेको देखिन्छ ।
राष्ट्रिय सभामा नेकपा संसदीय दलका नेता दिनानाथ शर्माले २०७६ पुस ६ गते २२ हजार २ सय ५० रुपैयाँ उपचार खर्च लिएका छन् । नेपाली कांग्रेसकी कोषाध्यक्ष एवं पूर्वमन्त्री सीतादेवी यादवले २०७५ भदौ १४ गते ९ हजार ६ सय ४५ रुपैयाँ उपचार खर्च लिएकी छन ।
पूर्वमन्त्री वृजेशकुमार गुप्ताले २ हजार १ सय ५४ रुपैयाँ उपचार खर्च लिएका छन् ।
संसद्को सार्वजनिक लेखा समितिका सभापति भरतकुमार शाह, अन्तर्राष्ट्रिय सम्बन्ध समितिकी सभापति पवित्रा निरौला खरेल लगायतले उपचार खर्च लिएका छन् ।
संसदीय समितिका सभापतिलाई राज्यमन्त्रीसरह अन्य सुविधा पनि उपलब्ध गराउने गरिएको छ ।
नेकपा सांसद सानु सिवाले ८ पटक गरेर २ लाख ७७ हजार ४ सय ७७ रुपैयाँ उपचार खर्च लिएकी छन् । नेपाली कांग्रेसका मानबहादुर विश्वकर्माले ७ पटक गरेर ३५ हजार ७ सय ६५ रुपैया खर्च लिएका छन् ।
सांसद रुही नाजले एकै पटक १ लाख ५० हजार रुपैयाँ बुझेकी छन् । एक पटकमा एकलाखभन्दा बढी उपचार खर्च बुझ्ने सांसदमा जिसी, सिंह र नाज छन् । स्मृति नारायण चौधरीले ७ पटक उपचार खर्च बुझेका छन् ।
२०७५ भदौ देखि २०७६ माघसम्ममा ८७ सांसदले १७३ पटक गरी २६ लाख २७ हजार रुपैयाँ उपचार खर्च लिएका छन् । केही सांसदले भने मन्त्रिपरिषद्बाट निर्णय गराएर उपचार खर्च लिएका छन्, जुन विवरण यसमा उल्लेख छन् ।
यसो भन्छ, ऐन :
संघीय संसद्का पदाधिकारी तथा सदस्यहरूको पारिश्रमिक र सुविधासम्बन्धी ऐन, २०७३ मा सांसद तथा संसद्का पदाधिकारीलाई उपलब्ध गराइने उपचार खर्चसम्बन्धी व्यवस्था छ ।
ऐनको दफा १४ उपदफा (१) ले भन्छ– 'पदाधिकारी र सदस्यलाई उपचारको निमित्त संघीय संसदको सचिवालयमा वरिष्ठ चिकित्सकको निःशुल्क सेवा उपलब्ध गराइनेछ ।'
बाहिर उपचार गर्दा खर्च दाबी गर्न सकिने व्यस्था भने उपदफा (२) मा उल्लेख छ ।
उक्त उपदफामा भनिएको छ–
'अस्पतालमा उपचार गर्नु पर्ने भनी उपदफा (१) बमोजिमको चिकित्सकले सिफारिस गरेको पदाधिकारी वा सदस्यले अस्पतालमा उपचार गराउँदा लागेको बिल बमोजिमको खर्च संघीय संसदको सचिवालयले व्यहोर्नेछ । तर आकस्मिक अवस्था परी अस्पतालमा भर्ना हुनु परेमा वा उपत्यका बाहिर रहेको अवस्थामा अस्पताल भर्ना हुनु परेमा त्यस्तो चिकित्सकको सिफारिस आवश्यक पर्ने छैन । त्यसरी अस्पताल भर्ना भएको कुरा संघीय संसदको सचिवालयलाई यथासम्भव छिटो माध्यमद्वारा जानकारी दिनु पर्नेछ ।'
ऐनमा भनिएअनुसार सचिवालयमा चिकित्सक नियमित उपलब्ध नहुने हुँदा मेडिकल बोर्ड गठन गरी त्यसैको सिफारिसमा उपचार खर्च उपलब्ध गराउने गरिएको सचिवालयमा कार्यरत उपसचिव रामहरि थापाले बताए ।
उनका अनुसार सांसदहरूको उपचार खर्चको बिल रुजु गर्न संघीय संसद् सचिवालयले ३ जना डाक्टर र ३ जना कर्मचारी रहेको मेडिकल बोर्ड गठन गरेको छ ।
बोर्डमा आयुर्वेद विभागका महानिर्देशक समेत रहेका डा. वासुदेव उपाध्याय, डा. एई अन्सारी र वीर अस्पतालका डा. अजित खनाल तथा सचिवालयका सहसचिव हृदयराम महर्जन, उपसचिव रामहरि थापा र एक शाखा अधिकृत छन् ।
‘डाक्टरको प्रेस्किप्सन अनुसारको औषधिको बिल मात्र भुक्तानी दिने गरेका छौं, मेडिकल बोर्डले सिफारिश गरेपछि मात्र भुक्तानी हुन्छ,’ बोर्डका सदस्य उपसचिव थापाले लोकान्तरसँग भने ।
अस्पतालमै बसेर उपचार गर्ने सांसदको हकमा सचिवालयले अस्पताललाई नै भुक्तानी गर्ने गरेको छ । देशबाहिर गरिएको उपचारको खर्च भने भुक्तानी सचिवालयले नगर्ने उनको भनाइ छ ।
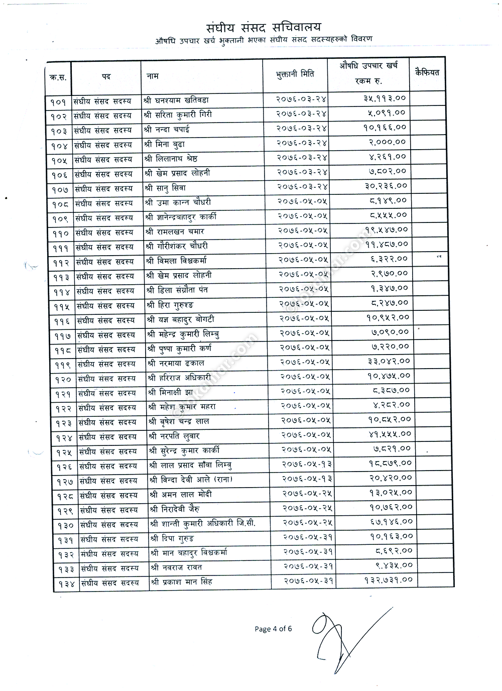
हेर्नुहोस्, उपचार खर्च बुझ्ने सांसदहरूको सूची :






'जनप्रतिनिधिले सामान्य उपचार खर्च समेत दाबी गर्नु नैतिकताको प्रश्न'
भ्रष्टाचारविरोधी अभियान सञ्चालन गर्दै आएको ट्रान्सपरेन्सी इन्टरनेसलन नेपाल च्याप्टरका अध्यक्ष खेमराज रेग्मी नीतिनिर्माताले उदारचित्त नदेखाउँदा आर्थिक मितव्ययितामा असर पुग्ने बताउँछन् ।
‘जननिर्वाचित प्रतिनिधिलाई ठूलै रोग लागेमा राज्यले उपचार गर्नुपर्छ, सरकारी अस्पतालमा गरिने उपचारको खर्च दिनु उपयुक्त नै होला,’ रेग्मीले लोकान्तरसँग भने, ‘तर पहुँचवाला व्यक्तिले जो हात सो साथ (हातमा पर्नासाथ साथमा लिने) प्रवृत्ति देखाउँदा सुशासनको संस्कार बस्न सक्दैन ।’
विगतमा पनि सांसदले भिटामिन खाएको बिल समेत पेश गर्ने गरेको अनुभव रहेको उनले स्मरण गरे ।
‘एक स्वतन्त्र परवेक्षकको हैसियतले भन्नुपर्दा जटिल रोग लागेको अवस्थाबाहेक सांसदले उपचार खर्च नलिएर उदार चित्त देखाएमा त्यसको प्रभाव प्रशासनमा पनि पर्छ,’ पूर्वप्रशासक समेत रहेका रेग्मीले भने, ‘सांसदहरूले लिन्छन् भने हामीले किन नलिने भनेर कर्मचारीहरूलार्ई समेत उपचार खर्च लिनलाई प्रोत्साहन मिल्छ ।’
स्रोत : लोकान्तर अनलाइन